-->
التربوية attarbawia التربوية attarbawia
recent

آخر الأخبار

recent
random
جاري التحميل ...
random

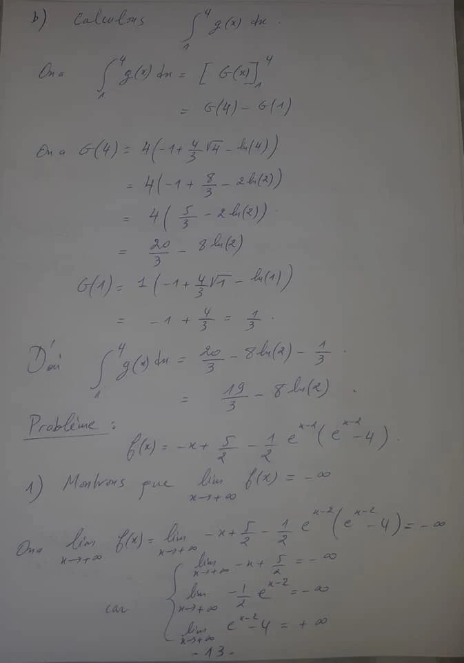
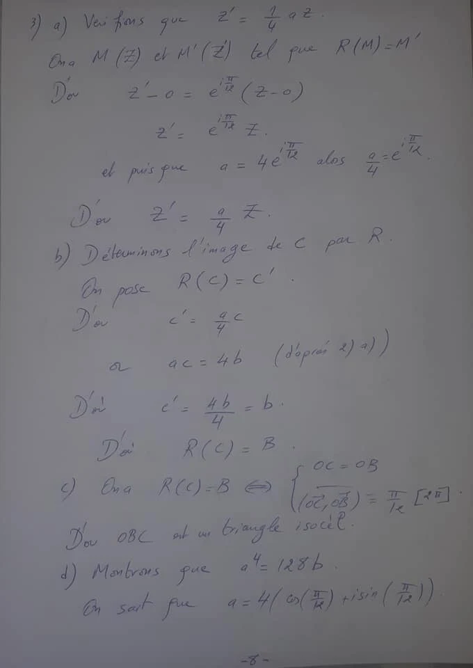
تصحيح الامتحان الوطني لمادة الرياضيات شعبة العلوم التجريبية 2020 bac

التعليقات



إذا أعجبك محتوى مدونتنا نتمنى البقاء على تواصل دائم ، فقط قم بإدخال بريدك الإلكتروني للإشتراك في بريد المدونة السريع ليصلك جديد المدونة أولاً بأول ، كما يمكنك إرسال رساله بالضغط على الزر المجاور ...

إتصل بنا

المتابعون

المتابعون

جميع الحقوق محفوظة

التربوية attarbawia

2016